Beranda
/ Mencari Invers Matriks 2X2 - Matriks Elementer Dan Invers - Matriks yang mempunyai invers disebut invertible atau matriks non singular, sedangkan matriks yang tidak mempunyai invers disebut matriks singular.
Mencari Invers Matriks 2X2 - Matriks Elementer Dan Invers - Matriks yang mempunyai invers disebut invertible atau matriks non singular, sedangkan matriks yang tidak mempunyai invers disebut matriks singular.
Mencari Invers Matriks 2X2 - Matriks Elementer Dan Invers - Matriks yang mempunyai invers disebut invertible atau matriks non singular, sedangkan matriks yang tidak mempunyai invers disebut matriks singular.. Tentukan invers matriks dibawah ini! Semoga artikel tersebut dapat bermanfaat bagi kita semua, terutama yang belum mengetahuinya maupun yang sudah lupa cara mencarinya , sehingga dengan membaca artikel ini kamu bisa menjadi ingat kembali. Kemudian ketahui rumus anda dan hitung kofaktornya. Learn vocabulary, terms and more with flashcards, games and other study tools. Cara mencari invers matriks 2×2 dan 3×3 pada umumnya dapat dilakukan dengan mudah.
Setelah itu, periksa jika matriks anda ialah 2×2. Invers matriks dapat disimbolkan dengan nama tertentu seperti huruf kapital yang. Ketuk untuk lebih banyak langkah. Maka dari itu, sudah seharusnya anda menguasai bagaiamana cara mencari matrik inverse terutama anda yang masih pelajar. Sebelum itu kita harus tahu dahulu bahwa invers suatu matriks.
Cara Mencari Determinan Dan Invers Matriks Matematika Kelas 11 from www.ruangguru.com Untuk mencari invers matriks persegi berordo 2×2, coba perhatikan berikut ini. 1 3 12 2 . Tentukan determinan dari matriks 13122. Invers suatu matrik seringkali jadi pertanyaan di dalam sebuah soal matriks bahkan sampai muncul dalam beberapa soal matriks. Kemudian ketahui rumus anda dan hitung kofaktornya. Namun hanya berlaku untuk matriks yang berordo 2x2. Rumus invers matriks beserta contoh soal. Invers dari 2 adalah 1/2 karena 2(1/2)=1 dan bilangan 1 ini merupakan identitas.
Setelah itu, periksa jika matriks anda ialah 2×2.
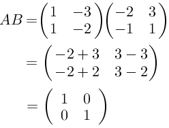
Invers dari suatu matriks a dengan ukuran 2 x 2, elemen pada baris pertama adalah a, b dan elemen pada baris kedua adalah c, d dinyatakan dalam rumus di bawah. The calculator will find the inverse of the square matrix using the gaussian elimination method or the adjugate method, with steps shown. Program mencari invers matriks 2×2 c++. Mencari invers matriks metode eliminasi gauss jordan indonesia. Untuk melakukannya, kalian harus memastikan jika matriks yang digunakan adalah matriks persegi. Pada matriks 2x2, adjointnya adalah sebagai berikut Secara matematis dapat ditulis sebagai berikut. Sebelum masuk ke contoh dan cara menghitung invers matriks, kita akan mencari lebih dulu nilai adjoint. Namun sebelum memahai materi invers matematika tersebut, anda harus memahami konsep dalam matriks itu sendiri. « program mencari nilai maksimal dan minimal. Matriks online worksheet for 10. Biasanya invers matriks di tingkat sekolah menyinggung soal invers matriks ordo 2 x 2 dan invers matriks ordo 3 x 3. Istilah invers ini biasa dipakai dalam aljabar.
Maka dari itu, sudah seharusnya anda menguasai bagaiamana cara mencari matrik inverse terutama anda yang masih pelajar. Here you can calculate inverse matrix with complex numbers online for free with a very detailed solution. Invers matriks 2x2 contoh soal dan pembahasan. Menentukan determinan matriks dan invers matriks. Sebenarnya rumus ini sudah cepat, akan tetapi untuk mencari adjoinnya itu yang lumayan agak lama.
Soal Invers Matriks 2 2 Cara Golden from i1.wp.com Invers dari 2 adalah 1/2 karena 2(1/2)=1 dan bilangan 1 ini merupakan identitas. Biarkan tiap bagian dari matriks menjadi unsur matriks pada baris. Setelah itu, periksa jika matriks anda ialah 2×2. Bahkan juga sering muncul dalam beberapa soal matriks. Secara matematis dapat ditulis sebagai berikut. Syarat suatu matriks a mempunyai invers. Perlu dicatat, cara cepat ini hanya berlaku untuk matriks dengan. Invers matriks 2x2 contoh soal dan pembahasan.
Syarat suatu matriks a mempunyai invers.
Bagi anda yang ingin mencari invers dari matriks 2×2, pastikan dulu bahwa matriks anda ialah matriks persegi. Kami menemukan berbagai contoh masalah seperti perkalian matriks invers 3×3 atau matriks invers 2×2 pada matriks invers 4×4. Biasanya invers matriks di tingkat sekolah menyinggung soal invers matriks ordo 2 x 2 dan invers matriks ordo 3 x 3. Program mencari invers matriks 2×2 c++. Rumus invers matriks beserta contoh soal. Here you can calculate inverse matrix with complex numbers online for free with a very detailed solution. Selanjutnya kita mencari matriks tetangga dalam rumus matriks terbalik. Friend istream& operator>>(istream&, ordo post navigation. Sebelum itu kita harus tahu dahulu bahwa invers suatu matriks. Invers matriks matematika sma dan smk, contoh soal invers matriks metode sarrus ordo 2x2, 3x3, disertai cara menentukan adjoint, determinan, kofaktor, minor contoh mencari determinan matriks ordo 2x2. Syarat suatu matriks a mempunyai invers. Cara yang pertama adalah untuk mencari invers matriks 2 x 2. Untuk melakukannya, kalian harus memastikan jika matriks yang digunakan adalah matriks persegi.
Here you can calculate inverse matrix with complex numbers online for free with a very detailed solution. Invers suatu matriks banyak dijadikan sebagai pertanyaan dalam sebuah soal matriks. Semoga artikel tersebut dapat bermanfaat bagi kita semua, terutama yang belum mengetahuinya maupun yang sudah lupa cara mencarinya , sehingga dengan membaca artikel ini kamu bisa menjadi ingat kembali. Invers matriks materi mengenai invers matriks ini sendiri sering sekali muncul dalam pelajaran matematika. Mencari invers matriks metode eliminasi gauss jordan indonesia.
Determinan Matriks Invers Matriks Sifat Sifatnya Idschool from idschool.net Invers dari suatu matriks a dengan ukuran 2 x 2, elemen pada baris pertama adalah a, b dan elemen pada baris kedua adalah c, d dinyatakan dalam rumus di bawah. Biasanya invers matriks di tingkat sekolah menyinggung soal invers matriks ordo 2 x 2 dan invers matriks ordo 3 x 3. Program mencari invers matriks 2×2 c++. Istilah invers ini biasa dipakai dalam aljabar. Jika dengan , maka invers dari matriks a (ditulis ) adalah sebagai berikut Cara mencari invers matriks 2×2 dan 3×3 pada umumnya dapat dilakukan dengan mudah. Sebenarnya rumus ini sudah cepat, akan tetapi untuk mencari adjoinnya itu yang lumayan agak lama. Program mencari invers matrix 2×2.
Invers dari suatu matriks a dengan ukuran 2 x 2, elemen pada baris pertama adalah a, b dan elemen pada baris kedua adalah c, d dinyatakan dalam rumus di bawah.
Invers matriks materi mengenai invers matriks ini sendiri sering sekali muncul dalam pelajaran matematika. Kali ini gue bakalan nulis artikel tentang rumus cepat invers matriks ordo 2x2, tanpa panjang lebar lagi yo check it out ! Elemen a dan d terletak pada diagonal utama, sedangkan elemen b dan. Matriks online worksheet for 10. Maka dari itu, sudah seharusnya anda menguasai bagaiamana cara mencari matrik inverse terutama anda yang masih pelajar. Invers matriks dapat disimbolkan dengan nama tertentu seperti huruf kapital yang. Mencari invers matriks metode eliminasi gauss jordan indonesia. Invers matriks 2x2 contoh soal dan pembahasan. You can do the exercises online or download the worksheet as pdf. Friend istream& operator>>(istream&, ordo post navigation. Friend ostream& operator<<(ostream&, const ordo&); Perlu dicatat, cara cepat ini hanya berlaku untuk matriks dengan. Sebelum itu kita harus tahu dahulu bahwa invers suatu matriks.
Berbagi
Posting Komentar
untuk "Mencari Invers Matriks 2X2 - Matriks Elementer Dan Invers - Matriks yang mempunyai invers disebut invertible atau matriks non singular, sedangkan matriks yang tidak mempunyai invers disebut matriks singular."
Posting Komentar untuk "Mencari Invers Matriks 2X2 - Matriks Elementer Dan Invers - Matriks yang mempunyai invers disebut invertible atau matriks non singular, sedangkan matriks yang tidak mempunyai invers disebut matriks singular."