Beranda
/ Menentukan Limit Dengan Mengalikan Faktor Sekawan - Limit Fungsi Aljabar Matematika Kelas 11 Quipper Blog / Belajar limit mengalikan sekawan dengan video dan kuis interaktif.
Menentukan Limit Dengan Mengalikan Faktor Sekawan - Limit Fungsi Aljabar Matematika Kelas 11 Quipper Blog / Belajar limit mengalikan sekawan dengan video dan kuis interaktif.
Menentukan Limit Dengan Mengalikan Faktor Sekawan - Limit Fungsi Aljabar Matematika Kelas 11 Quipper Blog / Belajar limit mengalikan sekawan dengan video dan kuis interaktif.. Lim x x + x x a 3 2 2 15 3 = lim x x x x a + 3 3 5 3 = 3 lim a x x + 5 = 8 b. Jika pada diperoleh bentuk tak tentu. 𝑥 ≠ − 5 3 lim x→− 5 3 6𝑥2 + 𝑥 − 15 3𝑥 + 5 = lim x→− 5 3 2𝑥 − 3 lim x→− 5 3 6𝑥2 + 𝑥 − 15 3𝑥 + 5 = − 19 3 d. Menentukan limit dengan perkalian sekawan kapan kita. Lim x x x x x a < + 0 2 2 2 9 2 b.
Lim x x x a < < 1 2 1 1 f. Berikut akan kami jelaskan metodenya satu per satu. Cara menentukan nilai limit fungsi dengan mengalikan faktor sekawan berikut ini bentuk faktor sekawan yang sering dipakai dalam menentukan limit fungsi : Langkah pertama yang dilakukan untuk menentukan nilai suatu limit yaitu dengan mensubtitusikan x = c ke f (x), hingga substitusikan. Menentukan limit fungsi dengan perkalian sekawan bantu ya kak.
Materi Limit Fungsi Aljabar Sekolah Bunyan Indonesia from i2.wp.com Berikut akan kami jelaska tentang pengertian beserta rumus metode sifat. Menentukan limit dengan merasionalkan penyebut Metode paling mudah dengan menentukan hasil suatu limit fungsi adalah dengan mensubstitusi langsung nilai kedalam fungsi f (x). Dengan kaitanya pada bentuk limit kedua ada beberapa metode dalam menentukan nilai limit fungsi aljabar yaitu metode membagi dengan pangkat tertinggi penyebut dan metode mengalikan dengan faktor sekawan. Menentukan limit fungsi dengan perkalian sekawan bantu ya kak. 2x 2 + x − 15. Maka pada intinya mengalikan faktor sekawan ini adalah menghilangkan bentuk akar. M etode membagi dengan pangkat tertinggi penyebut contoh (1) :
Contoh soal limit soal no 1.
Setelah disubstitusikan dan ternyata nilai limit tidak terdefinisi. Menentukan nilai limit fungsi dengan cara mengalikan dengan faktor sekawan 3. Metode mengalikan dengan faktor sekawan. Metode mengalikan dengan faktor sekawan. Metode pemfaktoran dilakukan dengan menentukan faktor persekutuan antara pembilang dan penyebutnya. Artinya, jika x mendekati c dari kiri dan kanan, tetapi tidak sama dengan c, maka nilai f(x) mendekati l dari kedua arah. Metode pemfaktoran dilakukan dengan menentukan faktor persekutuan antara pembilang dan penyebutnya. X 2 + 7x + 12. Langkah pertama yang dilakukan untuk menentukan nilai suatu limit yaitu dengan mensubtitusikan x = c ke f (x), hingga substitusikan. Menentukan limit dengan cara diatas tidaklah efisien. Contoh soal limit soal no 1. Metode mengalikan dengan faktor sekawan; M etode membagi dengan pangkat tertinggi penyebut contoh (1) :
Metode pemfaktoran dapat digunakan jika fungsi yang dilimitkan dapat difaktorkan. Agar lebih jelas, pelajari contoh berikut. Menentukan limit dengan merasionalkan penyebut 𝑥 ≠ − 5 3 lim x→− 5 3 6𝑥2 + 𝑥 − 15 3𝑥 + 5 = lim x→− 5 3 2𝑥 − 3 lim x→− 5 3 6𝑥2 + 𝑥 − 15 3𝑥 + 5 = − 19 3 d. 2x 2 + x − 15.
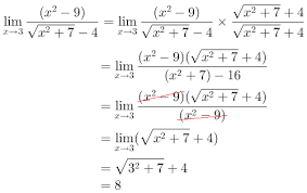
Contoh Soal Limit Fungsi Trigonometri Aljabar Pembahasan Pengertian Materi Rumus Teorema Matematika Cara Substitusi Langsung Dan Memfaktorkan Sekawan Tak Hingga from 4.bp.blogspot.com Kita sederhanakan fungsi yang diambil limitnya itu dengan kaidah atau aturan berikut. Menentukan limit dengan mengalikan faktor sekawan. Metode pemfaktoran dilakukan dengan menentukan faktor persekutuan antara pembilang dan penyebutnya. Menentukan nilai limit fungsi dengan cara mengalikan dengan faktor sekawan 3. Terdapat 2 jenis untuk menentukan limit fungsi aljabar, diantaranya yakni: Kamu akan diajak untuk memahami materi hingga metode menyelesaikan soal. Lim x x x a 5 5 5 = lim x x x x a + 5 5 5 5 = lim x x a + 5 1 5 = 1 5 5 + = 1 2 5 3. Menentukan limit dengan mengalikan faktor sekawan.
2x 2 + x − 15.
Berikut akan kami jelaska tentang pengertian beserta rumus metode sifat. Sama seperti metode lainnya, metode perkalian sekawan digunakan jika hasil dari substitusi menunjukkan nilai yang tak tentu (∞ ⁄ ∞ atau 0 ⁄ 0). Langkah awal yang perlu dilakukan untuk menentukan nilai suatu limit yaitu dengan mensubtitusikan x=c ke f(x), sehingga dalam kasus ini substitusikan x=4 ke. Ada tiga metode dalam mengerjakan limit fungsi aljabar, yaitu: X 2 + 7x + 12. Setelah disubstitusikan dan ternyata nilai limit tidak terdefinisi. Metode mengalikan dengan faktor sekawan. Seorang guru matematika yang hobi menulis tiga bahasa, yaitu bahasa indonesia, matematika, dan php. Jadi, nilai dari limit fungsi aljabar tersebut, contoh soal 3 dalam hubungannya dengan bentuk limit yang kedua ada beberapa cara dalam menentukan nilai limit fungsi aljabar yaitu metode membagi dengan pangkat tertinggi penyebut dan metode mengalikan dengan faktor sekawan. Metode pemfaktoran dapat digunakan jika fungsi yang dilimitkan dapat difaktorkan. Metode mengalikan dengan faktor sekawan. M etode membagi dengan pangkat tertinggi penyebut contoh (1) : Jika dengan substitusi langsung bentuk ' a x.
Tentukanlah suatu nilai limit dibawah ini. Menentukan limit dengan perkalian sekawan kapan kita. Metode pemfaktoran dapat digunakan jika fungsi yang dilimitkan dapat difaktorkan. X 2 + 7x + 12. Metode paling mudah dengan menentukan hasil suatu limit fungsi adalah dengan mensubstitusi langsung nilai kedalam fungsi f (x).
Rpp Xi Ips Limit Aljabar from demo.pdfslide.tips Cara mengalikan dengan faktor sekawan jika limit fungsi berbentuk lim →∞ { − ()}, karena jika = ∞ disubstitusi langsung maka diperoleh bentuk ∞ − ∞. Lim x x x a < < 1 2 1 1 f. Menentukan limit dengan perkalian sekawan kapan kita. Lim x x + x x a 3 2 2 15 3 = lim x x x x a + 3 3 5 3 = 3 lim a x x + 5 = 8 b. Langkah awal yang perlu dilakukan untuk menentukan nilai suatu limit yaitu dengan mensubtitusikan x=c ke f(x), sehingga dalam kasus ini substitusikan x=4 ke. Dalam kaitanya dengan bentuk limit kedua ada beberapa metode didalam menentukan nilai limit fungsi aljabar yaitu metode membagi dengan pangkat tertinggi penyebut dan metode mengalikan dengan faktor sekawan. Metode mengalikan dengan faktor sekawan. 𝑥 ≠ − 5 3 lim x→− 5 3 6𝑥2 + 𝑥 − 15 3𝑥 + 5 = lim x→− 5 3 2𝑥 − 3 lim x→− 5 3 6𝑥2 + 𝑥 − 15 3𝑥 + 5 = − 19 3 d.
Pada kesempatan ini kita akan membahas beberapa contoh soal dan penyelesaian limit fungsi menggunakan metode pemfaktoran.
Siswa dapat menentukan limit fungsi dengan membagi pangkat tertinggi penerapan (c3) 3, 4 pg 3 limit di ketakhinggaan fungsi irasional (bentuk lim 𝑥→∞ ( (𝑥)− (𝑥)) diberikan fungsi yang memuat fungsi irasional siswa dapat menentukan limit fungsi dengan mengalikan faktor sekawan penerapan (c3) 5, 6 pg 4 limit di ketakhinggaan Kita sederhanakan fungsi yang diambil limitnya itu dengan kaidah atau aturan berikut. Labels analisis real artikel download ebook kalkulus kurikulum2013 matematika pendidikan sbmptn snmptn uan menu halaman statis. Cara mengalikan dengan faktor sekawan jika limit fungsi berbentuk lim →∞ { − ()}, karena jika = ∞ disubstitusi langsung maka diperoleh bentuk ∞ − ∞. Menentukan limit dengan merasionalkan penyebut Agar lebih jelas, pelajari contoh berikut. Lim x x x a 5 5 5 = lim x x x x a + 5 5 5 5 = lim x x a + 5 1 5 = 1 5 5 + = 1 2 5 3. Metode mengalikan dengan faktor sekawan. Metode pemfaktoran dilakukan dengan menentukan faktor persekutuan antara pembilang dan penyebutnya. Solusi lim x→− 5 3 6𝑥2 + 𝑥 − 15 3𝑥 + 5 = lim x→− 5 3 (2𝑥 − 3)(3𝑥 + 5) 3𝑥 + 5 ; Menentukan limit fungsi dengan perkalian sekawan bantu ya kak. Menentukan limit dengan mengalikan faktor sekawan. Langkah awal yang perlu dilakukan untuk menentukan nilai suatu limit yaitu dengan mensubtitusikan x=c ke f(x), sehingga dalam kasus ini substitusikan x=4 ke.
Berbagi
Posting Komentar
untuk "Menentukan Limit Dengan Mengalikan Faktor Sekawan - Limit Fungsi Aljabar Matematika Kelas 11 Quipper Blog / Belajar limit mengalikan sekawan dengan video dan kuis interaktif."
Posting Komentar untuk "Menentukan Limit Dengan Mengalikan Faktor Sekawan - Limit Fungsi Aljabar Matematika Kelas 11 Quipper Blog / Belajar limit mengalikan sekawan dengan video dan kuis interaktif."